//개념
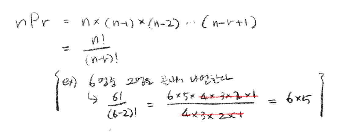
순열 : n개의 원소 중에서 r개의 원소들을 나열하는 경우의 수
순서가 다르면 다른 경우 => [0, 1, 2] != [1, 2, 0] != [2, 0, 1] ... 전부 다른 경우로 친다.

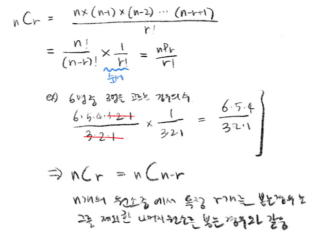
조합 : n개의 원소 중에서 r개의 원소들을 고르는 경우의 수
순서가 달라도 같은 경우 => [0, 1, 2] == [1, 2, 0] ... 0, 1, 2 원소가 포함시 전부 같은 경우로 친다.

순열과 조합의 관계
순열은 조합에 순서를 포함하는 모든 경우의 수와 같다.

순열 문제 풀이
https://www.acmicpc.net/problem/10974
#include <iostream>
#include <vector>
#include <map>
using namespace std;
int n;
vector<int> components; //원본 int list
vector<int> cur_permutation;//순열조합
map<int, bool> use_check;//순열조합을 만드는 과정에서 사용중인 int 체크
//결과 프린트
void print_vector(){
for (int i = 0; i < cur_permutation.size(); ++i) {
cout << cur_permutation[i] << " ";
}
//endl은 시간이 느림
cout << "\n";
}
//순열 조합 재귀함수
void permutation(int depth){
if(cur_permutation.size() == components.size()){
print_vector();
return;
}
//순열 조합을 만들때 하나씩 int를 가져와서 사용여부를 체크한뒤 cur_permutation에 수집해둠
for (int i = 0; i < n; ++i) {
if(use_check[components[i]] == true){
continue;
}
//사용한 숫자요소는 사용을 true로 체크
cur_permutation.push_back(components[i]);
use_check[components[i]] = true;
//다음 숫자를 넘겨서 순열 조합을 추가해나감
permutation(depth+1);
//다음숫자를 넘기고 아래 정렬을 다 돌리고 나면 현 숫자는 순열리스트에서 빼고 사용을 false로 초기화
use_check[components[i]] = false;
cur_permutation.pop_back();
}
}
int main(int argc, const char * argv[]) {
cin >> n;
for (int i = 1; i <= n; ++i) {
components.push_back(i);
}
permutation(0);
return 0;
}
주의할점)
endl을 시간이 느리기때문에 시간복잡도를 고려하며 줄바꿈할때 "\n"을 사용한다.
'공부' 카테고리의 다른 글
| [알고리즘] 백준 9017 크로스 컨트리 c++ 예외처리 (0) | 2024.10.26 |
|---|---|
| [Play Console] 앱이 Android 14(API 수준 34) 이상을 타겟팅 해결하기 (0) | 2024.10.26 |
| [Play Console] 2. 플레이 스토어 비공개 테스트 진행과정 (5) | 2024.07.10 |
| [Play Console] 1. 플레이 스토어 비공개 테스트 진행하기 (2) | 2024.06.12 |
| [Play Console] 구글 플레이 콘솔 개발자 계정 만들기 (0) | 2024.06.12 |
댓글